New Year Sale Limited Time 65% Discount Offer - Ends in 0d 00h 00m 00s - Coupon code: get65

Cisco Updated 200-301 Exam Questions and Answers by yusha

Page: 13 / 89

Cisco 200-301 Exam Overview :

Exam Name: Implementing and Administering Cisco Solutions (200-301 CCNA) v1.1
Exam Code: 200-301 Dumps
Vendor: Cisco Certification: CCNA
Questions: 1237 Q&A's Shared By: yusha
Question 52

What is the role of nonoverlapping channels in a wireless environment?

Options:

A.

to reduce interference

B.

to allow for channel bonding

C.

to stabilize the RF environment

D.

to increase bandwidth

Discussion
Question 53

Which advantage does the network assurance capability of Cisco DNA Center provide over traditional campus management?

Options:

A.

Cisco DNA Center correlates information from different management protocols to obtain insights, and traditional campus management requires manual analysis.

B.

Cisco DNA Center handles management tasks at the controller to reduce the load on infrastructure devices, and traditional campus management uses the data backbone.

C.

Cisco DNA Center leverages YANG and NETCONF to assess the status of fabric and nonfabric devices, and traditional campus management uses CLI exclusively.

D.

Cisco DNA Center automatically compares security postures among network devices, and traditional campus management needs manual comparisons.

Discussion
Question 54

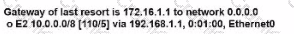
A router received three destination prefixes:10.0.0/18, and 10.0.0/24. When the show ip route command is executed, which output does it return?

A)

Questions 54

B)

Questions 54

C)

Questions 54

D)

Questions 54

Options:

A.

Option A

B.

Option B

C.

Option C

D.

Option D

Discussion
Question 55

How does MAC learning function on a switch?

Options:

A.

broadcasts frames to all ports without queueing

B.

adds unknown source MAC addresses to the address table

C.

sends a retransmission request when a new frame is received

D.

sends frames with unknown destinations to a multicast group

Discussion
Hassan
Highly Recommended Dumps… today I passed my exam! Same questions appear. I bought Full Access.
Kasper Nov 25, 2025
Hey wonderful….so same questions , sounds good. Planning to write this week, I will go for full access today.
Ayra
How these dumps are necessary for passing the certification exam?
Damian Nov 14, 2025
They give you a competitive edge and help you prepare better.
Josie
I just passed my certification exam using their dumps and I must say, I was thoroughly impressed.
Fatimah Nov 9, 2025
You’re right. The dumps were authentic and covered all the important topics. I felt confident going into the exam and it paid off.
Robin
Cramkey is highly recommended.
Jonah Nov 26, 2025
Definitely. If you're looking for a reliable and effective study resource, look no further than Cramkey Dumps. They're simply wonderful!
Everleigh
I must say that they are updated regularly to reflect the latest exam content, so you can be sure that you are getting the most accurate information. Plus, they are easy to use and understand, so even new students can benefit from them.
Huxley Nov 8, 2025
That's great to know. So, you think new students should buy these dumps?
Page: 13 / 89
Title
Questions
Posted

200-301
PDF

$40.25  $114.99

200-301 Testing Engine

$47.25  $134.99

200-301 PDF + Testing Engine

$61.25  $174.99